12. Chapter 10 - Stochastic epidemic models#
Event-driven Approaches#
Deterministic epidemic models assume that given a set of initial conditions and set of differential equations that the average number (or proportion) of individuals in each disease state will be the same every time the model is implemented.
Stochastic models, like the Reed-Frost model that we studied in the beginning of these notes, assume the number of individuals in each disease state follows a probability distribution. This means that if we run a model with the same initial conditions and same rules for producing the number of individuals in each disease state at the next time step then we will get different outcomes.
There are many different types of stochasticity that can be introduced into an epidemic model. We will explore in these notes: demographic stochasticity. Demographic stochasticity assumes that rates of events are constant (\(\beta\), \(\gamma\) etc) but that results fluctuate randomly because of the random nature of animal interactions and contact.
The suite of approaches that we will explore for including this type of stochasticity into epidemic models is called “Event-Driven simulation”.
Event driven simulation takes the following approach to produce a single probabilistic trajectory of the number of individual in each disease state over time:
Itemize all the different types of events that can occur in the model. An event is defined as some action that changes the number of individuals in a disease state.
Label the events \(E_{1}, E_{2}, E_{3}, \cdots\)
Identify the rates at which these identified events occur.
Convert the rate at which each event occurs into a probability
Choose the next event that occurs according to the probabilities in (3)
Implement that event and restart from 2-4
Itemize SI model events#
Lets look at the SI model with vital dynamics as an example. We will assume demographic stochasticity for this model and move through the above five steps.
The SI model with vital dynamics is specified as
Step 1#
Lets look at all of the individual events that can occur in this model.
First, a susceptible individual can be infected.
When this occurs the number of susceptibles decreases by one and the number of infected individuals increases by one.
If we think of a map between the present number of susceptible and infectors and future number of susceptible and infectors then we could say (\((S,I) \to (S-1,I+1)\)).
Second, an individual can be born into the system.
When this happens the number of susceptibles increases by one (\((S,I) \to (S+1,I)\)).
Third, a susceptible dies.
When this happens the number of susceptibles decreases by one (\((S,I) \to (S-1,I)\)).
Fourth, an infected dies.
When this happens the number of susceptibles decreases by one (\((S,I) \to (S,I-1)\)).
The above four events are the only types of events that can occur in our SI model. We will label these events \(E_{1}\),\(E_{2}\),\(E_{3}\), and \(E_{4}\).
Step 2#
Our next step is to determine the rates at which each event occurs. We will use the above ODE to determine our rates.
The rate at which a susceptible is infected (\(E_{1}\)) equals \( \beta S \frac{I}{N}\).
The rate at which \(E_{2}\) occurs is \(\mu N\).
The rate at which \(E_{3}\) occurs is \(\mu S\).
The rate at which \(E_{4}\) occurs is \(\mu I\).
Event |
Change |
Rate |
---|---|---|
Sus is infected |
\((S,I) \to (S-1;I+1)\); |
\( \beta S \frac{I}{N}\) |
Sus born |
\((S,I) \to (S+1,I)\) |
\(\mu N\) |
Sus die |
\((S,I) \to (S-1,I)\) |
\(\mu S\) |
Inf die |
\((S,I) \to (S,I-1)\) |
\(\mu I\) |
Step 3#
The next step is to convert the above rates into probabilities. We will to explore some mathematical tools for how to implement this conversion.
Converting rates to Probabilities—The Poisson assumption (again)#
Assume we have a list of potential events that can occur: \(E_{1},E_{2},\cdots E_{n}\). Further, assume that the number of events that can occur follows a Poisson distribution. That is, the probability that \(E=v\) events occurs in an interval of time \(\delta t\) equals
The quantity \(\lambda\) is the rate that events occur and has units \(\frac{\text{number of occurrences}}{\text{time unit}}\). For example: number of infections per week, or number of recoveries per day, or number of births per year.
Then the probability that a single event occurs in an interval \(\delta t\) is
The “trick” that we need is to recognize that if the interval of time we choose is small enough then the probability of two or more event is so small that it can be ignored. In other words, if \(\delta t\) is small enough then we can use the rate of events \(\lambda\) to define the probability our event happens \(P(E=1)\) or the probability that it does not \(P(E=0)\).
As an example of how a small \(\delta t\) impacts the probability of two events, we can look at the ratio of the probability of two events compared to the probability of one event.
which can be made arbitrarily small when we choose a small enough time interval (\( \delta t \)).
We can even look at the probability two or more events occur compare to zero or one.
Back to the crux of our argument. The key is that we can link a rate, \(\lambda\), to a probability via the Poisson distribution
The probability that no event occurs equals \(e^{ -\lambda \delta t }\) and the probability that some number of events occurs equals \(1-e^{ -\lambda \delta t }\). However, because the probability that two or more events is so small we can say that the probability of one event occurring equals \(1-e^{ -\lambda \delta t }\).
Time until the next event occurs#
The probability of an event occurring in the interval \(\delta t\) equals
and the probability that no event occurs is
Then the probability that the next event occurs in the interval \( [(n-1)\delta t ,(n)\delta t ] \) means that no event occurred from time zero until time \((n-1)\delta t\) and then the event occurred.
Here, we assume that the probability that an event occurs in some interval \(P\) is a probability density. This means that the probability of an event is approximately \(P(t) \delta t\).
Set \((n-1)\delta t=\tau\). If we let \(\delta t\) get smaller than the number of \(\delta t\) pieces to reach time \(\tau\) must increase. In other words, as \(\delta t\) shrinks, (n-1) increases as
and so
This is the exponential density. This means that we can simulate the times until the next event by drawing a random time from a n exponential density with parameter value equal to the rate of this event transition.
First Reaction method#
Gillespie’s First Reaction method is one way to implement an Event-Driven stochastic simulation. Given the number of individual in each disease state at the beginning of the observational period (at time \(t=t_{0}\)), a stopping time (\(t_{1}\)), and parameter values, Gillespie’s First Reaction method computes the following.
For each possible event, draw at random the time at which that event will occur in the future. Find the event time with the smallest time \((\delta t_{\text{event}})\). Implement this event by modifying the number of individuals in each disease state and increment the time by \(\delta t_{\text{event}}\). Run the following steps until the total elapsed time is greater than the stop time \(t_{1}\).
Below is code to run the Stochastic SI model with vital dynamics.
Its important to not that numpy.random.exponential
uses a different form for the exponential density.
That is, the numpy version of the exponential density is
def first_reaction(stop_time=200):
import numpy as np
#--start time and stop time
t = 0
#--parameter values
params = {"beta":0.3, "mu": 0.1}
pop = {"S": [100], "I":[2], "N":[102] }
times = [0]
while t <stop_time:
#for _ in range(1000):
#--simulate times for all events
S,I,N = pop.get("S"),pop.get("I"),pop.get("N")
S = S[-1]
I = I[-1]
N = N[-1]
if N==0:
break
if S==0 or I==0 or N==0:
ev1 = 0.1
else:
ev1 = np.random.exponential( 1./(params["beta"]*S*I/N )) #--time for event 1
if N==0:
ev2 =0.1
else:
ev2 = np.random.exponential( 1./(params["mu"] * N) ) #--time for event 2
if S == 0:
ev3 = 0.1
else:
ev3 = np.random.exponential( 1./(params["mu"] * S) ) #--time for event 3
if I==0:
ev4=0.1
else:
ev4 = np.random.exponential( 1./(params["mu"] * I) ) #--time for event 4
first_event_to_occur = np.argmin([ev1,ev2,ev3,ev4]) #--Find the "soonest" event time
#--Implement the event by changing disease states
if first_event_to_occur==0:
S = np.max( [S-1, 0])
I = I+1
delta_T = ev1
elif first_event_to_occur==1:
S = S+1
delta_T = ev2
elif first_event_to_occur==2:
S = np.max( [S-1, 0])
delta_T = ev3
elif first_event_to_occur==3:
I = np.max( [I-1, 0])
delta_T = ev4
#--Update numbers in each disease
pop["S"].append(S)
pop["I"].append(I)
#--Update pop size
N = S+I
pop["N"].append(N)
#--Update time
t+=delta_T
times.append(t)
return times,pop
times,pop = first_reaction(100)
import matplotlib.pyplot as plt
fig,ax = plt.subplots(figsize=(5,4))
Ss = pop["S"]
ax.plot(times,Ss,label="Sus")
Is = pop["I"]
ax.plot(times,Is,label="Infected")
Ns = pop["N"]
ax.plot(times,Ns,label="N")
ax.set_xlabel("Time")
ax.set_ylabel("Pop sizes")
ax.legend()
plt.show()

Differences between deterministic and stochastic models Some important differences appear between the deterministic and stochastic version of the SI model with vital dynamics. First, the number of individuals does not stay constant. We see that \(N\) fluctuates towards values larger and smaller than the original population size of 101. Like in the deterministic model, the number of infected does grow towards a fixed point and the number of susceptible are depleted, moving towards zero.
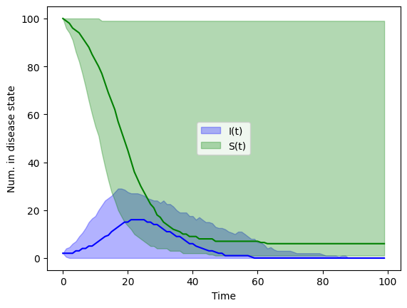
The stochastic values above were from a single “experiment”. To get a sense of the probability of the disease states, S and I, we need to run our model many times (say \(M\) times). If we run our model \(M\) times then we can use the simulated values at time \(t\) to estimate the probability of \(S(t)\) and the probability of \(I(t)\).
Below is an example of \(M=100\) simulations. We plot the median, 2.5, and 97.5th percentiles for \(S\) and \(I\).
from scipy.interpolate import interp1d
import numpy as np
observation_periods = np.arange(100)
infects = np.zeros((100,100))
susceps = np.zeros((100,100))
for sim in range(100):
times,pop = first_reaction(100)
infectors = np.array(pop["I"])
sus = np.array(pop["S"])
f = interp1d(times,infectors)
infects[sim,:] = f(observation_periods)
f = interp1d(times,sus)
susceps[sim,:] = f(observation_periods)
fig,ax = plt.subplots()
lower,median,upper = np.percentile( infects, [2.5,50,97.5], axis=0 )
ax.plot( observation_periods, median, color="blue" )
ax.fill_between( observation_periods, lower,upper, color="blue",alpha=0.30,label="I(t)" )
lower,median,upper = np.percentile( susceps, [2.5,50,97.5], axis=0 )
ax.plot( observation_periods, median, color="green" )
ax.fill_between( observation_periods, lower,upper, color="green",alpha=0.30,label="S(t)" )
ax.set_xlabel("Time")
ax.set_ylabel("Num. in disease state")
ax.legend()
plt.show()

Direct method#
Gillespie’s First Reaction Method asks us to produce random times for each event type and then suppose that the even which take place is the event that has happened “soonest”. Another method for implementing an event-driven stochastic model is Gillespie’s Direct Method.
Gillespie’s Direct Method supposes the following steps:
Initiate the model with a start (\(t_{0}\)) and end time (\(t_{1}\)), parameters, and disease states
Enumerate all the events \(E_{1}\),\(E_{2}\), etc.
Add all the rates for all the events and call this \(T\)
Draw a random time that one of the events occurs from \(\delta t = exp(T)\)
Choose which event will occur. The probability that event occurs (\(P(E_{i})\)) equals \(r(E_{i})/T\) where \(r(E_{i})\) is the rate of event \(i\).
Increment time by \(\delta t\) and run steps 4-6 until stop time.
def direct_reaction(stop_time=200):
import numpy as np
#--start time and stop time
t = 0
#--parameter values
params = {"beta":0.6, "mu": 1./20}
pop = {"S": [100], "I":[2], "N":[102] }
times = [0]
while t <stop_time:
#--simulate times for all events
S,I,N = pop.get("S"),pop.get("I"),pop.get("N")
S = S[-1]
I = I[-1]
N = N[-1]
#--time of the next event
rate1 = np.clip( (params["beta"]*S*I/N ),0.01,np.inf) #clipping so that these rate are not negative
rate2 = np.clip( (params["mu"] * N) ,0.01,np.inf)
rate3 = np.clip( (params["mu"] * S) ,0.01,np.inf)
rate4 = np.clip( (params["mu"] * I) ,0.01,np.inf)
T = rate1 + rate2 + rate3 + rate4
if T==0:
break
delta_T = np.random.exponential(1./T)
#--choose which event occurs
if S==0 or I==0 or N==0:
p_event1 = 0
else:
p_event1 = rate1/T #--time for event 1
if N==0:
p_event2 =0
else:
p_event2 = rate2/T #--time for event 2
if S == 0:
p_event3 = 0
else:
p_event3 = rate3/T #--time for event 3
if I==0:
p_event4=0
else:
p_event4 = rate4/T #--time for event 4
probs = np.array([p_event1,p_event2,p_event3,p_event4])
#--Find the event that occurs
event_to_occur = np.random.choice( np.arange(4), p = probs/probs.sum() )
#--Implement the event by changing disease states
if event_to_occur==0:
S = np.max( [S-1, 0])
I = I+1
elif event_to_occur==1:
S = S+1
elif event_to_occur==2:
S = np.max( [S-1, 0])
elif event_to_occur==3:
I = np.max( [I-1, 0])
#--Update numbers in each disease
pop["S"].append(S)
pop["I"].append(I)
#--Update pop size
N = S+I
pop["N"].append(N)
#--Update time
t+=delta_T
times.append(t)
return times,pop
times,pop = direct_reaction(100)
fig,ax = plt.subplots(figsize=(5,4))
Ss = pop["S"]
ax.plot(times,Ss,label="Sus")
Is = pop["I"]
ax.plot(times,Is,label="Infected")
Ns = pop["N"]
ax.plot(times,Ns,label="N")
ax.set_xlabel("Time")
ax.set_ylabel("Pop sizes")
ax.legend()
plt.show()

from scipy.interpolate import interp1d
observation_periods = np.arange(100)
infects = np.zeros((300,100))
susceps = np.zeros((300,100))
for sim in range(300):
times,pop = direct_reaction(100)
infectors = np.array(pop["I"])
sus = np.array(pop["S"])
f = interp1d(times,infectors)
infects[sim,:] = f(observation_periods)
f = interp1d(times,sus)
susceps[sim,:] = f(observation_periods)
fig,ax = plt.subplots()
lower,median,upper = np.percentile( infects, [2.5,50,97.5], axis=0 )
ax.plot( observation_periods, median, color="blue" )
ax.fill_between( observation_periods, lower,upper, color="blue",alpha=0.30,label="I(t)" )
lower,median,upper = np.percentile( susceps, [2.5,50,97.5], axis=0 )
ax.plot( observation_periods, median, color="green" )
ax.fill_between( observation_periods, lower,upper, color="green",alpha=0.30,label="S(t)" )
ax.set_xlabel("Time")
ax.set_ylabel("Num. in disease state")
ax.legend()
plt.show()

Tau-leap method#
def tau_leap_method(stop_time=200):
import numpy as np
#--start time and stop time
t = 0
deltat = 1./10
#--parameter values
params = {"beta":0.6, "mu": 1./20}
pop = {"S": [100], "I":[2], "N":[102] }
times=np.arange(t,stop_time,deltat)
for time in times[1:]:
#--simulate times for all events
S,I,N = pop.get("S"),pop.get("I"),pop.get("N")
S = S[-1]
I = I[-1]
N = N[-1]
#--time of the next event
rate1 = np.clip( (params["beta"]*S*I/N ),0,np.inf) #clipping so that these rate are not negative
rate2 = np.clip( (params["mu"] * N) ,0,np.inf)
rate3 = np.clip( (params["mu"] * S) ,0,np.inf)
rate4 = np.clip( (params["mu"] * I) ,0,np.inf)
delta_rate1 = np.random.poisson( rate1*deltat )
delta_rate2 = np.random.poisson( rate2*deltat )
delta_rate3 = np.random.poisson( rate3*deltat )
delta_rate4 = np.random.poisson( rate4*deltat )
S = S - delta_rate1 + delta_rate2 - delta_rate3
I = I + delta_rate1 - delta_rate4
#--Update numbers in each disease
pop["S"].append(S)
pop["I"].append(I)
#--Update pop size
N = S+I
pop["N"].append(N)
return times,pop
times,pop = tau_leap_method(100)
fig,ax = plt.subplots(figsize=(5,4))
Ss = pop["S"]
ax.plot(times,Ss,label="Sus")
Is = pop["I"]
ax.plot(times,Is,label="Infected")
Ns = pop["N"]
ax.plot(times,Ns,label="N")
ax.set_xlabel("Time")
ax.set_ylabel("Pop sizes")
ax.legend()
plt.show()

from scipy.interpolate import interp1d
observation_periods = np.arange(100)
infects = np.zeros((300,100))
susceps = np.zeros((300,100))
for sim in range(300):
times,pop = tau_leap_method(100)
infectors = np.array(pop["I"])
sus = np.array(pop["S"])
f = interp1d(times,infectors)
infects[sim,:] = f(observation_periods)
f = interp1d(times,sus)
susceps[sim,:] = f(observation_periods)
fig,ax = plt.subplots()
lower,median,upper = np.percentile( infects, [2.5,50,97.5], axis=0 )
ax.plot( observation_periods, median, color="blue" )
ax.fill_between( observation_periods, lower,upper, color="blue",alpha=0.30,label="I(t)" )
lower,median,upper = np.percentile( susceps, [2.5,50,97.5], axis=0 )
ax.plot( observation_periods, median, color="green" )
ax.fill_between( observation_periods, lower,upper, color="green",alpha=0.30,label="S(t)" )
ax.set_xlabel("Time")
ax.set_ylabel("Num. in disease state")
ax.legend()
plt.show()

An SEIR example#
def first_reaction(stop_time=200):
import numpy as np
#--start time and stop time
t = 0
times = [0]
#--parameter values
params = {"beta":0.6, "sigma": 0.3, "gamma":0.2}
pop = {"S": [100], "E":[1], "I":[2], "R":[0], "N":[103] }
while t <stop_time:
#--simulate times for all events
S,E,I,R,N = pop.get("S"),pop.get("E"), pop.get("I"),pop.get("R"),pop.get("N")
S = S[-1]
E = E[-1]
I = I[-1]
R = R[-1]
N = N[-1]
#--time of the next event
rate1 = np.clip( (params["beta"]*S*I/N ) ,0,np.inf) # S to E
rate2 = np.clip( (params["sigma"] * E) ,0,np.inf) # E to I
rate3 = np.clip( (params["gamma"] * I) ,0,np.inf) # I to R
time1 = np.random.exponential(1./rate1)
time2 = np.random.exponential(1./rate2)
time3 = np.random.exponential(1./rate3)
first_event_to_occur = np.argmin([ev1,ev2,ev3,ev4]) #--Find the "soonest" event time
#--Implement the event by changing disease states
if first_event_to_occur==0:
S = np.max( [S-1, 0])
E = E+1
delta_T = time1
elif first_event_to_occur==1:
E = np.max( [E-1, 0])
I = I+1
delta_T = time2
elif first_event_to_occur==2:
I = np.max( [I-1, 0])
R = R+1
delta_T = time3
#--Update numbers in each disease
pop["S"].append(S)
pop["E"].append(E)
pop["I"].append(I)
pop["R"].append(R)
#--Update pop size
N = S+E+I+R
pop["N"].append(N)
t+=delta_T
times.append(t)
return times,pop
times,pop = direct_reaction(100)
fig,ax = plt.subplots(figsize=(5,4))
Is = pop["I"]
ax.plot(times,Is,label="Infected")
ax.set_xlabel("Time")
ax.set_ylabel("Pop sizes")
ax.legend()
plt.show()

def direct_reaction(stop_time=200):
import numpy as np
#--start time and stop time
t = 0
times = [0]
#--parameter values
params = {"beta":0.6, "sigma": 0.3, "gamma":0.2}
pop = {"S": [100], "E":[1], "I":[2], "R":[0], "N":[103] }
while t <stop_time:
#--simulate times for all events
S,E,I,R,N = pop.get("S"),pop.get("E"), pop.get("I"),pop.get("R"),pop.get("N")
S = S[-1]
E = E[-1]
I = I[-1]
R = R[-1]
N = N[-1]
#--time of the next event
rate1 = np.clip( (params["beta"]*S*I/N ) ,0,np.inf) # S to E
rate2 = np.clip( (params["sigma"] * E) ,0,np.inf) # E to I
rate3 = np.clip( (params["gamma"] * I) ,0,np.inf) # I to R
T = rate1 + rate2 + rate3
if T==0:
break
delta_T = np.random.exponential(1./T)
#--choose which event occurs
if S==0 or I==0 or N==0:
p_event1 = 0
else:
p_event1 = rate1/T #--time for event 1
if E==0:
p_event2 =0
else:
p_event2 = rate2/T #--time for event 2
if I == 0:
p_event3 = 0
else:
p_event3 = rate3/T #--time for event 3
probs = np.array([p_event1,p_event2,p_event3])
#--Find the event that occurs
event_to_occur = np.random.choice( np.arange(3), p = probs/probs.sum() )
#--Implement the event by changing disease states
if event_to_occur==0:
S = np.max( [S-1, 0])
E = E+1
elif event_to_occur==1:
E = np.max( [E-1, 0])
I = I+1
elif event_to_occur==2:
I = np.max( [I-1, 0])
R = R+1
#--Update numbers in each disease
pop["S"].append(S)
pop["E"].append(E)
pop["I"].append(I)
pop["R"].append(R)
#--Update pop size
N = S+E+I+R
pop["N"].append(N)
t+=delta_T
times.append(t)
return times,pop
times,pop = direct_reaction(100)
fig,ax = plt.subplots(figsize=(5,4))
Is = pop["I"]
ax.plot(times,Is,label="Infected")
ax.set_xlabel("Time")
ax.set_ylabel("Pop sizes")
ax.legend()
plt.show()

def tau_leap_method(stop_time=200):
import numpy as np
#--start time and stop time
t = 0
deltat = 1./10
#--parameter values
params = {"beta":0.6, "sigma": 0.3, "gamma":0.2}
pop = {"S": [100], "E":[1], "I":[2], "R":[0], "N":[103] }
times=np.arange(t,stop_time,deltat)
for time in times[1:]:
#--simulate times for all events
S,E,I,R,N = pop.get("S"),pop.get("E"), pop.get("I"),pop.get("R"),pop.get("N")
S = S[-1]
E = E[-1]
I = I[-1]
R = R[-1]
N = N[-1]
#--time of the next event
rate1 = np.clip( (params["beta"]*S*I/N ) ,0,np.inf) # S to E
rate2 = np.clip( (params["sigma"] * E) ,0,np.inf) # E to I
rate3 = np.clip( (params["gamma"] * I) ,0,np.inf) # I to R
delta_rate1 = np.random.poisson( rate1*deltat )
delta_rate2 = np.random.poisson( rate2*deltat )
delta_rate3 = np.random.poisson( rate3*deltat )
S = S - delta_rate1
E = E + delta_rate1 - delta_rate2
I = I + delta_rate2 - delta_rate3
R = R + delta_rate3
#--Update numbers in each disease
pop["S"].append(S)
pop["E"].append(E)
pop["I"].append(I)
pop["R"].append(R)
#--Update pop size
N = S+E+I+R
pop["N"].append(N)
return times,pop
times,pop = tau_leap_method(100)
import matplotlib.pyplot as plt
fig,ax = plt.subplots(figsize=(5,4))
Is = pop["I"]
ax.plot(times,Is,label="Infected")
ax.set_xlabel("Time")
ax.set_ylabel("Pop sizes")
ax.legend()
plt.show()

from scipy.interpolate import interp1d
observation_periods = np.arange(100)
infects = np.zeros((300,100))
susceps = np.zeros((300,100))
for sim in range(300):
times,pop = tau_leap_method(100)
infectors = np.array(pop["I"])
sus = np.array(pop["S"])
f = interp1d(times,infectors)
infects[sim,:] = f(observation_periods)
f = interp1d(times,sus)
susceps[sim,:] = f(observation_periods)
fig,ax = plt.subplots()
lower,median,upper = np.percentile( infects, [2.5,50,97.5], axis=0 )
ax.plot( observation_periods, median, color="blue" )
ax.fill_between( observation_periods, lower,upper, color="blue",alpha=0.30,label="I(t)" )
lower,median,upper = np.percentile( susceps, [2.5,50,97.5], axis=0 )
ax.plot( observation_periods, median, color="green" )
ax.fill_between( observation_periods, lower,upper, color="green",alpha=0.30,label="S(t)" )
ax.set_xlabel("Time")
ax.set_ylabel("Num. in disease state")
ax.legend()
plt.show()

Homework#
Problem one#
Please use the Tau-leap method to evolve an SIR model with vital dynamics for 30 weeks in increments of one week.
Parameters |
Value |
---|---|
\(\beta\) |
2 |
\(\gamma\) |
1 |
\(\mu\) |
1/(3120) |
List out all the possible events (or transitions)
List out the rates associated with these events
Setup the Tau-leap code
Plot the number of infected individuals over time
Problem two#
For the SIR model above, run the Tau-leap method 100 times. Plot the number of susceptibles versus the number of infected individuals (vertical axis) for each of the 100 runs. Use an alpha value in your plot (a measure of transparency) of 0.05.
Problem three#
Build a deterministic SIR model with vital dynamics. Use solve_ivp to estimate the number of infectors over time from 0 to 3000 and plot infectors from 1500 on wards.
Run the same model with the Tau-leap method and plot the number of infectors from 1500 to 3000.
The number of infectors over time should look different between the deterministic vs stochastic model. WHy do these results looks qualitatively different?
Problem four#
Stochastic extinction is the probability that all the infections present in a population are depleted (equal zero). We can use the fact that, for a small time interval, rates of movement from one disease state to another are approximately equal to probabilities.
For this homework assignment, lets consider the probability of extinction \(P_{\text{ext}}\) for the SIR model. This treatment follows closely Keeling/Rohani 6.3.
For the SIR model, the rate of an infection is \(\beta S I /N\) and the rate of a recovery from infection is \(\gamma I\). If we consider these the only two events than the probability of infection is
and the probability of recovery from infection is
If there is a single infector in the population than the probability of extinction is \(\frac{\gamma}{\beta + \gamma}\)
Why?
The probability that this single infector infects another and then both infectors go extinct equals
Why?
Then the probability of extinction is either the first infector goes extinct or the first infector infects a second person and then both go extinct
Please solve for \(P_{\text{ext}}\)